Ceiling Function Notation

Math Symbols Google Search Math Notation Basic Math Math

Math Symbols Google Search Math Notation Basic Math Math

Eight Basic Algebraic Curves Gcse Math Studying Math Math Formulas

Eight Basic Algebraic Curves Gcse Math Studying Math Math Formulas

Nassim Nicholas Taleb On Twitter Trigonometric Functions Math Nassim Nicholas Taleb

Nassim Nicholas Taleb On Twitter Trigonometric Functions Math Nassim Nicholas Taleb

Pin By Rose On School Math Formulas Systems Of Equations Precalculus

Pin By Rose On School Math Formulas Systems Of Equations Precalculus

Hvac Ductwork Symbols Vertical Duct Variable Bend Duct Transitioning Reducing Duct Supply Duct Straight Duct Slidin Hvac Ductwork Duct Work Hvac Duct

Hvac Ductwork Symbols Vertical Duct Variable Bend Duct Transitioning Reducing Duct Supply Duct Straight Duct Slidin Hvac Ductwork Duct Work Hvac Duct

Derivatives Of Logarithmic And Exponential Functions Is An Important Topic Of Calculus Mathematics We Generally Denote The Lo Calculus Exponential Mathematics

Derivatives Of Logarithmic And Exponential Functions Is An Important Topic Of Calculus Mathematics We Generally Denote The Lo Calculus Exponential Mathematics

Derivatives Of Logarithmic And Exponential Functions Is An Important Topic Of Calculus Mathematics We Generally Denote The Lo Calculus Exponential Mathematics

2 2 4 x 2 d x.

Ceiling function notation. The int function short for integer is like the floor function but some calculators and computer programs show different results when given negative numbers. In mathematics and computer science the floor and ceiling functions map a real number to the greatest preceding or the least succeeding integer respectively. The ceiling function is usually denoted by ceil x or less commonly ceiling x in non apl computer languages that have a notation for this function.

By using this website you agree to our cookie policy. Some say int 3 65 4 the same as the floor function. However the floor and ceiling functions are usually typeset with left and right square brackets where only the lower for floor function or upper for ceiling function horizontal bars are displayed as in π 3 or π 4.

Find 2 2 4 x 2 d x. I also can t convert decimal numbers to integers within the string. In fact this notation harks back to gauss in his third proof of quadratic reciprocity in 1808.

The notation is used to indicate an. As with floor functions the best strategy with integrals or sums involving the ceiling function is to break up the interval of integration or summation into pieces on which the ceiling function is constant. Displaystyle int 2 2 big lceil 4 x 2 big rceil dx.

The ceiling function is implemented in the wolfram language as ceiling z where it is generalized to complex values of as illustrated above. However because of the elegant symmetry of the floor function and ceiling function symbols and and because is such a useful symbol when interpreted as an iverson bracket the use of to denote the. Rounds downs the nearest integer.

Free floor ceiling equation calculator calculate equations containing floor ceil values and expressions step by step this website uses cookies to ensure you get the best experience. Returns the largest integer that is smaller than or equal to x i e. The j programming language a follow on to apl that is designed to use standard keyboard symbols uses.

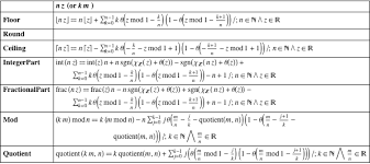
Ceiling Function Introduction To The Rounding And Congruence Functions

Ceiling Function Introduction To The Rounding And Congruence Functions

Pin By Anna Brojer On معلومات Gcse Math Algebra Studying Math

Pin By Anna Brojer On معلومات Gcse Math Algebra Studying Math

Algebra Symbols Mathposters Algebra Studying Math Algebra Notes

Algebra Symbols Mathposters Algebra Studying Math Algebra Notes

Design Lighting Symbols Interior Design Drawings Interior Design Sketches Interior Architecture Design

Design Lighting Symbols Interior Design Drawings Interior Design Sketches Interior Architecture Design

Mathwords Ceiling Function

Mathwords Ceiling Function

Trigonometric Function Values Of Special Angles Mov Trigonometric Functions Metric Conversion Chart Education Math

Trigonometric Function Values Of Special Angles Mov Trigonometric Functions Metric Conversion Chart Education Math

Source : pinterest.com