Floor And Ceiling Functions Examples

Ceiling Function Introduction To The Rounding And Congruence Functions

Ceiling Function Introduction To The Rounding And Congruence Functions

Floor And Ceiling Function Definition And Examples Hindi Youtube

Floor And Ceiling Function Definition And Examples Hindi Youtube

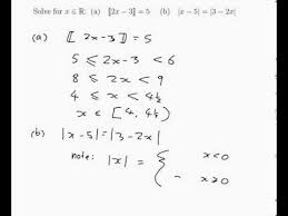
Example Solving Equations Involving The Floor And Absolute Value Functions Youtube

Example Solving Equations Involving The Floor And Absolute Value Functions Youtube

The Floor Function And The Ceiling Function Maple Programming Help

The Floor Function And The Ceiling Function Maple Programming Help

Rounding In R 4 Examples Round Ceiling Floor Trunc Signif Functions

Rounding In R 4 Examples Round Ceiling Floor Trunc Signif Functions

Ceiling Function

Ceiling Function

Ceiling Function

The int function short for integer is like the floor function but some calculators and computer programs show different results when given negative numbers.

Floor and ceiling functions examples. The plus sign in between the first floor function and the if statement adds the two results together giving the result 4 47. Some say int 3 65 4 the same as the floor function. Int limits 0 infty lfloor x rfloor e x dx.

So with the help of these two functions we get the nearest integer in a number line of a given decimal. 2 floor is. Floor function takes the vector or column of the dataframe in r and rounds down those values.

In mathematics and computer programming two important functions are used quite often. For example the floor and ceiling of a decimal 3 31 are 3 and 4 respectively. Floor and ceiling in r is demonstrated with examples in this chapter.

One is the floor function and the other is the ceiling function. Definite integrals and sums involving the floor function are quite common in problems and applications. Evaluate 0 x e x d x.

In mathematics and computer science the floor function is the function that takes as input a real number and gives as output the greatest integer less than or equal to denoted or similarly the ceiling function maps to the least integer greater than or equal to denoted or. Veil x where x is a numeric value example of ceil. The value of 21 on applying floor function is.

And this is the ceiling function. The best strategy is to break up the interval of integration or summation into pieces on which the floor function is constant. Here x is the floating point value.

Mathwords Ceiling Function

Mathwords Ceiling Function

How To Use The Excel Ceiling Function Exceljet

How To Use The Excel Ceiling Function Exceljet

4 Examples To Understand Python Floor Ceiling Functions

4 Examples To Understand Python Floor Ceiling Functions

Floor And Ceiling Functions

Floor And Ceiling Functions

Mysql Ceil Function W3resource

Mysql Ceil Function W3resource

Chapter 2 Function In Discrete Mathematics

Chapter 2 Function In Discrete Mathematics

Source : pinterest.com